Cristian Rojas
Universidade Adventista de Chile
https://orcid.org/0000-0002-8040-4747
Patricia Rodríguez
Universidade Adventista de Chile
https://orcid.org/0000-0002-7509-3235
Rosa Vergara
Universidad Adventista de Chile
https://orcid.org/0000-0001-6332-9805
Luis Torres
Universidad Adventista de Chile
https://orcid.org/0009-0002-9277-3045
Yessica Rivas
Universidad Adventista de Chile
https://orcid.org/0000-0002-1172-9775
Andrés Pinto
Universidad Adventista de Chile
https://orcid.org/0000-0001-5124-9621
Matías Betancur
Universidad
Adventista de Chile
https://orcid.org/0000-0003-0762-7175
Recibido: 27-01-2023
Aceptado: 26-04-2023
Cómo citar este documento:
Rojas, C.; Rodríguez, P.; Vergara, R.; Torres, L.; Rivas, Y.; Pinto, A. y Betancur, M. (2023). Características fenotípicas de gallinas Mapuche en comunidades rurales de la provincia de Diguilín, región de Ñuble. Revista Científica Cuadernos de Investigación, 1, e7, 1-26. https://cuadernosdeinvestigacion.unach.cl/index.php/rcci/article/view/e7
Resumen
Las gallinas Mapuche, son valoradas por sus cualidades fenotípicas como raza, y sus huevos colores azulado. Las variedades de la raza, tales como la Ketro, Kollonka y Kollonka de Aretes y sus poblaciones en las regiones de Chile son escasamente descritas. En este trabajo se describieron características fenotípicas de poblaciones de aves Mapuches en la provincia del Diguillín. El diseño utilizado fue cuantitativo de tipo descriptivo, para características como, color del plumaje, cresta, tarsos, tonalidad del huevo y peso vivo, según lo definido por el Servicio Agrícola y Ganadero de Chile La provincia del Diguillín demostró alta impronta de las distintas variedades de aves Mapuche. El color de plumaje predominante fue “otros” y ambos colores de tarsos, amarillos y verdes, fueron similares. Las crestas más comunes fueron arveja y simple. Los colores de huevos predominantes fueron celeste y verde. La alta diversidad de características fenotípicas entre variedades de aves Mapuche podría responder a cruzamientos no específicos debido a la baja especialización de los criadores pertenecientes a la Agricultura Familiar Campesina de la provincia.
Palabras clave: Huevos, Plumaje, Indígena, Ketro, Kollonka, Kollonka de Aretes.
Abstract
Mapuche hens are valued for their phenotypic qualities as a breed, and their bluish colored eggs. The varieties of the breed, such as the Ketro, Kollonka and Kollonka de Aretes and their populations in the regions of Chile are scarcely described. In this work, phenotypic characteristics of Mapuche bird populations in the Diguillín province were described. The design used was quantitative descriptive, for characteristics such as plumage color, crest, tarsus, egg color and live weight, as defined by the Servicio Agrícola y Ganadero de Chile (Chilean Agricultural and Livestock Service). The Diguillín province showed a high imprint of the different varieties of Mapuche birds. The predominant plumage color was "other" and both yellow and green tarsus colors were similar. The most common crests were pea and simple. The predominant egg colors were light blue and green. The high diversity of phenotypic characteristics among Mapuche bird varieties could respond to non-specific crossbreeding due to the low specialization of the breeders belonging to the family farmers of the province.
Key words: Eggs, Plumage, Indigenous, Ketro, Kollonka, Kollonka de Aretes.
Resumo
As galinhas mapuches são apreciadas pelas suas qualidades fenotípicas enquanto raça e pelos seus ovos de cor azulada. As variedades da raça, como a Ketro, Kollonka e Kollonka de Aretes e suas populações nas regiões do Chile são pouco descritas. Neste trabalho, foram descritas as características fenotípicas das populações de aves mapuches na província de Diguillín. O delineamento utilizado foi quantitativo e descritivo, para características como cor da plumagem, crista, tarso, cor do ovo e peso vivo, conforme definido pelo Servicio Agrícola y Ganadero de Chile. A província de Diguillín apresentou uma alta incidência das diferentes variedades de aves mapuches. A cor predominante da plumagem foi "outra" e as cores amarela e verde do tarso foram semelhantes. As cristas mais comuns foram a ervilha e a simples. As cores predominantes dos ovos foram o azul claro e o verde. A alta diversidade de características fenotípicas entre as variedades de aves mapuches pode ser resultado de cruzamentos não específicos devido à baixa especialização dos criadores pertencentes à agricultura familiar camponesa da província.
Palavras chave: Ovos, Plumagem, Indígena, Ketro, Kollonka, Kollonka de Aretes.
Introducción
El origen de la gallina doméstica ha sido parte de una gran discusión científica que nació hace más de 30 años. Por una parte, se ha sugerido que españoles o portugueses la introdujeron en la costa de Sudamérica alrededor del año 1500. Sin embargo, durante la llegada de Francisco Pizarro a Perú en el año 1532 se descubrió que la gallina era parte integral del sistema cultural y económico del pueblo Inca, por lo que se sugiere que la gallina se encontraría en América previo a la llegada de los españoles (Storey et al., 2007).
Por otro lado, Moya et al. (2009), pone en evidencia el origen precolombino de la gallina americana y por otra parte determina el origen polinésico de esta especie, relacionado probablemente a una ruta marítima entre viajeros polinésicos y los pueblos americanos. En este sentido, Alcalde (2016) sugiere la presencia predominante de caracteres de las razas asiáticas en la gallina mapuche, por lo que propone la posibilidad de una llegada a través de viajes transpacíficos. En esta línea, el origen polinesio de la población y la gallina podría ser en base a similitudes lingüísticas y tecnologías comunes entre los pueblos. Aunque la evidencia genética para respaldar esta hipótesis no ha sido concluyente hasta ahora. Se requieren análisis adicionales de ADN antiguo que puedan finalmente aclarar el origen del pollo sudamericano (Herrera, 2020).
En el marco de relatos antiguos de estos pueblos, se menciona la gallina Mapuche, con la denominación en mapuzungun de la gallina como Achawall y del gallo como Alka y su utilización en rituales mapuches, mantienen su presencia prehispánica. Aún está en discusión el verdadero origen de esta raza, si es asiático, polinésico o si es originaria del territorio americano (Moya et al., 2009; Castelló, 1924).
La gallina Mapuche es valorada por sus cualidades como raza, pero principalmente por tratarse de un recurso autóctono, identitario del pueblo Mapuche (Moya et al., 2009, Wilhelm, 1963). La gallina Mapuche, es el resultado de una gran variabilidad genética manifestada en las distintas variedades dentro de la raza, tales como la Ketro, Kollonka e Kollonka de Aretes (Alcalde, 2016; Montero y Moya, 2007). Algunas características distintivas de este tipo de aves son los aretes; formaciones cutáneas recubiertas de pluma que salen de los canales del oído, ausencia de cola, cresta tipo arveja y patas de color oliva con mezcla de pigmentos grises con el amarillo (Alcalde, 2016).
Actualmente la gallina Mapuche está distribuida en el centro-sur de Chile y el sur de Argentina. Pudiéndose hallar en localidades agrícolas y en comunidades indígenas, aportando ingresos y alimentación a las comunidades (Saliéres, 2005). Estas zonas geográficas poseen climas poco favorables para otras variedades de gallinas, en comparación a las gallinas mapuches que presentan buena adaptabilidad a estas condiciones climáticas, además, dentro de otras características, estas aves son resistentes a enfermedades y toleran periodos de sequías (Alcalde, 2016). De este modo, campesinos e indígenas son custodios o curadores de esta variedad, destacándose su presencia en las regiones del Ñuble, Biobío y la Araucanía de Chile (Saliéres, 2005). A pesar de que existen antecedentes en la región de la Araucanía, sobre la importancia de gallinas Mapuches por su producción de huevos de color azul (Navarro et al., 2009) y su rescate en torno a la pertenencia cultural (Bravo, 2021), no hay reportes sobre la conservación de las poblaciones de estas gallinas Mapuches según sus características fenotípicas en la región de Ñuble. Con base en los antecedentes presentados, el objetivo de este estudio es describir y comparar características fenotípicas de las variedades de gallinas Mapuches Kollonka, Ketro e Kollonka de Aretes, a través de la observación visual según lo descrito por Alcalde (2016), y Montero y Moya (2007), en las comunas de la provincia de Diguillín.
Metodología
Área de estudio
La investigación se realizó en la provincia de Diguillín, región de Ñuble, Chile (36°37′00″S 71°57′00″O). Según el Instituto Nacional de Estadísticas (INE, 2021) la provincia de Diguillín es una de las tres que conforman la región de Ñuble, junto a Itata y Punilla. Esta provincia se compone de nueve comunas con una superficie de 5229,5 km2 y una población de 319.809 personas, equivalente al 66,5% del total del territorio, 480.609 habitantes. Su clima es de tipo mediterráneo (Kottek et al., 2006), con temperatura media de 13,5° C y precipitaciones medias de 697,4 mm anual y un período seco estival de 4 meses (Agrometerología, 2023).
Selección de muestra
Dentro del área de estudio se seleccionaron 16 productores de gallinas categorizados en agricultura familiar campesina. Uno de los criterios de selección fue que los productores tuvieran al menos un individuo con características atribuidas a gallinas Mapuche de acuerdo con lo descrito en trabajos previos (Alcalde, 2016; Montero y Moya, 2007) [(Ver Tablas 1-3)]. El tipo de muestreo correspondió a uno no probabilístico por conveniencia.
Muestra
Se seleccionaron individuos machos y hembras en edad joven y adulta. Se identificaron un mínimo de dos productores por comuna, donde se analizó el 100% de las aves a través de la observación visual de las características fenotípicas de la gallina Mapuche de tipo Kollonka de Aretes (Tabla 1), Kollonka (Tabla 2) y Ketro (Tabla 3), descritas por Alcalde (2016), y Montero y Moya (2007). El peso de las aves se determinó a través de una balanza. El porcentaje (%), del color de huevos de las aves se determinó de forma visual en aves hembra con un criterio de existencia cuando hubo un color predominante.
Tabla 1. Características fenotípicas de la gallina Mapuche Kollonka de Aretes.
|
Presencia y actitud |
Protector de sus hembras, altivo y de carácter tranquilo. |
|
Cresta |
Que presente cresta pequeña y no caída, donde puede ser de tipo: Arveja, Simple, Nuez o Rosa. |
|
Cola |
Ausencia de rabadilla natural, no deben tener plumas rectrices, que se proyectan hacia abajo y pueden obstruir la cloaca durante la cópula. |
|
Aretes |
Que tenga aretes, que crecen desde un pedúnculo de piel, cercano o en la salida del oído del ave, donde puede presentar tufos simétricos o asimétricos. |
|
Tarsos |
Tarsos sin plumaje de patas, de preferencia el color debe ser verde, amarillos, azul pizarra y no permitidos tarsos blancos. |
|
Color Plumaje |
La gallina Mapuche o araucana tiene variedad en colores entre ellos tenemos negro, blanco, abedul en plata, dorado y rojo, aperdizado, azul pizarra, splash, ala de pato, leonado, salmón y rojo pecho negro. |
|
Tonalidad del Huevo |
El huevo debe ser azul o verde, pasando por distinta escala desde el turquesa, celeste intenso y verde. |
|
Peso |
Normalmente el peso de los machos no puede superar los 2,7 kg y las hembras no exceder los 2,3 kg. |
|
Descalificaciones |
Que presente barba, moño o copete, plumaje de patas, diferente tonalidad de huevo al establecido. |
Fuente: Elaboración propia.
Tabla 2. Características fenotípicas de la gallina Mapuche Kollonka.
|
Presencia y actitud |
Protector de sus hembras, altivo y de carácter tranquilo. |
|
Cresta |
Que presente cresta pequeña y no caída, donde puede ser de tipo: Arveja, Simple, Nuez o Rosa. |
|
Cola |
Ausencia de rabadilla natural, no deben tener plumas rectrices, que se proyectan hacia abajo y pueden obstruir la cloaca durante la cópula. |
|
Tarsos |
Tarsos sin plumaje de patas, de preferencia el color debe ser verde, amarillos, azul pizarra y no permitidos tarsos blancos. |
|
Color Plumaje |
La gallina Mapuche o araucana tiene variedad en colores entre ellos tenemos negro, blanco, abedul en plata, dorado y rojo, aperdizado, azul pizarra, splash, ala de pato, leonado, salmón y rojo pecho negro. |
|
Tonalidad del Huevo |
El huevo debe ser azul o verde, pasando por distinta escala desde el turquesa, celeste intenso y verde. |
|
Peso |
Normalmente el peso de los machos no puede superar los 2,7 kg y las hembras no exceder los 2,3 kg. |
|
Descalificaciones |
Que presente barba, moño o copete, plumaje de patas, diferente tonalidad de huevo al establecido. |
Fuente: Elaboración propia.
Tabla 3. Características fenotípicas de la gallina Mapuche Ketro.
|
Presencia y actitud |
Protector de sus hembras, altivo y de carácter tranquilo. |
|
Cresta |
Que presente cresta pequeña y no caída, donde puede ser de tipo: Arveja, Simple, Nuez o Rosa. |
|
Cola |
Presencia de la cola, en donde se debe proyectar en 45 grados con alas pegadas al cuerpo bien recogidas. |
|
Aretes |
Que tenga aretes, que crecen desde un pedúnculo de piel, cercano o en la salida del oído del ave, donde puede presentar tufos simétricos o asimétricos. |
|
Tarsos |
Tarsos sin plumaje de patas, de preferencia el color debe ser verde, amarillos, azul pizarra y no permitidos tarsos blancos. |
|
Color Plumaje |
La gallina Mapuche o araucana tiene variedad en colores entre ellos tenemos negro, blanco, abedul en plata, dorado y rojo, aperdizado, azul pizarra, splash, ala de pato, leonado, salmón y rojo pecho negro. |
|
Tonalidad del Huevo |
El huevo debe ser azul o verde, pasando por distinta escala desde el turquesa, celeste intenso y verde. |
|
Peso |
Normalmente el peso de los machos no puede superar los 2,7 kg y las hembras no exceder los 2,3 kg. |
|
Descalificaciones |
Que presente barba, moño o copete, plumaje de patas, diferente tonalidad de huevo al establecido. |
Fuente: Elaboración propia.
Se establecieron las características cola y arete como variables indicativas de las tres variedades en las combinaciones que se muestran en la tabla 3, siempre y cuando se manifieste la característica de tonalidad del huevos verde o azul:
Tabla 4. Contingencia Aretes x Cola
|
|
Ausencia de cola |
Presencia de cola |
|
Con Aretes |
Kollonka de Aretes |
Ketro |
|
Sin Aretes |
Kollonka |
Otra |
Fuente: Elaboración propia
Equipos
Para dejar registro de los individuos analizados se utilizó una cámara fotográfica Canon modelo EOS R7 RF-S 18-150 mm (Canon Chile S.A. Santiago, Chile), una balanza modelo ATS-301 (Americantec, Santiago, Chile).
Diseño de investigación y análisis estadístico.
La investigación se realizó a través de un diseño cuantitativo de tipo descriptivo. Las variables utilizadas fueron los parámetros establecidos según la descripción de Alcalde (2016), y Montero y Moya (2007), que se utilizaron para clasificar la variedad de gallina, como: Cresta, tarsos, tipo de tonalidad del huevo, color del plumaje, peso vivo. Las variables cualitativas fueron presentadas a través de frecuencias absolutas y relativas y medidas de tendencia central y dispersión. Para la comparación del peso vivo (kg), entre las distintas variedades, se utilizó un ANOVA de una vía previo a la comprobación a los supuestos de normalidad y homocedasticidad de varianza. Como prueba a posteriori se utilizó DMS (α > 0,05). Las figuras y los datos se generaron y analizaron con el software SPSS (Statistic Version 25) y Microsoft Excel 2022.
Resultados
Caracterización de la población de aves
Caracterización de la población de aves Mapuche y no Mapuche en la provincia del Diguillín
La Figura 1 representa el porcentaje de aves por comunas de la provincia del Diguillín sobre un total de 252 aves muestreadas pertenecientes a 16 productores, donde se identificó al menos un ave con características fenotípicas de aves Mapuche. La mayor proporción de aves lo representan en orden descendente las comunas de Chillán viejo, Pinto, San Ignacio, Chillán y El Carmen con porcentajes superiores al 10%, mientras que la menor proporción de aves estuvo representada por las comunas de Bulnes (8,3%), Yungay (7,5%), Pemuco (4,8%) y Quillón (4,0%).

Figura 1. Porcentaje de aves (%) por comunas de la provincia del Diguillín, Región de Ñuble, Chile. Muestreo total correspondiente a 252 aves de sexo hembras y machos. Fuente: Elaboración propia.
Caracterización de la población de aves Mapuche en las comunas de la provincia del Diguillín
Respecto al número total de aves muestreadas (252), se determinaron 187 aves Mapuches muestreadas en la provincia del Diguillín, se determinó que un 8,7% corresponden a la variedad Kollonka de Aretes, cuyas características identitarias son ausencia de cola y presencia de aretes. Por otro lado, las aves de la variedad Kollonka representaron un 57,5% del total de aves, teniendo como característica identitaria la ausencia de cola y ausencia de aretes. En tanto, el tipo de aves Ketro representaron el menor porcentaje del total de aves muestreadas con un 7,9%, cuya característica identitaria corresponde a la presencia de cola y presencia de aretes (Figura 2).

Figura 2. Porcentaje de aves Mapuche (%) según variedades en la provincia del Diguillín, Región de Ñuble, Chile. Muestreo total correspondiente a 187 aves. Mediciones sobre aves macho y hembras. Fuente: Elaboración propia.
Respecto al porcentaje de variedades de aves Mapuche por comunas en la provincia del Diguillín (Figura 3), se encontró una mayor presencia de aves la variedad Kollonka de Aretes, en las comunas de Chillán, Chillán viejo y Pinto con 23%, 23% y 18% respectivamente. Por otra parte, en las comunas de Bulnes y Quillón, hubo ausencia de esta variedad de aves. Respecto a la variedad Kollonka, el mayor porcentaje de esta variedad se presentó en la comuna de Pinto (18%), Chillán viejo (19%), Chillán (14%). Por otro lado, las comunas que presentaron menor existencia de aves de variedad Kollonka, con proporciones menores al 10%, fueron las comunas de Bulnes, Pemuco, Quillón y Yungay. Por último, las aves de la variedad Ketro, presentaron mayor existencia en las comunas de Chillán viejo, Chillán y Pinto con proporciones de 35%, 20% y 21% respectivamente. No obstante, las comunas de Quillón y Yungay no presentaron existencia de esta variedad de aves.
Figura 3. Porcentaje de aves Mapuche (%) de las variedades Kollonka de Aretes, Kollonka y Ketro, en las comunas de la provincia de Diguillín, Región de Ñuble, Chile. Mediciones estimadas sobre aves macho y hembras, siendo para las comunas de Bulnes, 11; Chillán, 29; Chillán viejo, 40; El Carmen, 22; Pemuco, 12; Pinto, 41; Quillón, 8; San Ignacio, 20; y Yungay, 4. Fuente: Elaboración propia.
Características fenotípicas de aves Mapuche de la provincia del Diguillín y sus comunas
Color plumaje de aves Mapuche
Respecto al color del plumaje de las variedades de aves Mapuche de la provincia del Diguillín (Figura 4), en las aves de la variedad Kollonka de Aretes (Figura 4a), se determinó predominancia de los colores, abedul rojo (16% para machos), abedul dorado (12% para machos), otros (12% machos y 12% hembras), (colores no definidos claramente en la caracterización de aves), rojo pecho negro (8% machos y 4% hembras), azul pizarra (4% machos y 4% hembras), salmón (8% hembras), abedul plata (8% hembras), aperdizado (4% hembras), blanco (4% hembras) y splash (4% hembras). En cuanto al color del plumaje para la variedad de aves Kollonka (Figura 4b), los colores más abundantes fueron, otro (6,7% machos y 25,8% hembras), aperdizado (0,8% machos y 13,3% hembras), azul pizarra (2,5% machos y 9,2% hembras), negro (0,8% machos y 9,2 hembras), blanco (2,5% machos y 4,2% hembras), splash (2,5% macho y 4,2% hembras), rojo pecho negro (2,5% machos y 3,3% hembras), ala de pato (4,2% machos y 0,8% hembras), leonada (0,8% machos y 2,5% hembras), salmón (3,3% hembras) y abedul plata (0,8% hembras). En las aves de la variedad Ketro (Figura 4c), los colores de mayor predominancia fueron otro (15,8% machos y 15,8% hembras), azul pizarra (10,5% machos y 15,8% hembras), negro (5,3% machos y 15,8% hembras), splash (5,3% machos y 15,8% hembras), aperdizado (5,3% hembras) y abedul plata (5,3% machos).



Figura 4. Porcentaje de existencia de aves Mapuche (%) según color de plumaje en la provincia del Diguillín, Región de Ñuble, Chile. (a) Aves variedad Kollonka de Aretes, (b) variedad Kollonka, y (c) variedad Ketro. Mediciones estimadas sobre aves macho y hembras, con un total de aves de 19, 120 y 19 para las variedades Kollonka de Aretes, Kollonka y Ketro, respectivamente. Fuente: Elaboración propia.
Tipo de crestas de aves Mapuche
Para el tipo de cresta de las aves Mapuche en la provincia del Diguillín (Figura 5), la mayor existencia correspondió a la variedad Kollonka con un número total de 145 aves, seguidas de las variedades Kollonka de Aretes y Ketro con 22 y 5 aves, respectivamente. En cuanto al tipo de cresta de arveja, la variedad Ketro fue la que presentó un porcentaje de existencia del 100%, seguido por las variedades Kollonka e Kollonka de Aretes con 23% y 9% respectivamente. El tipo de cresta simple se halló en las variedades Kollonka de Aretes y Kollonka con 86% y 73%, respectivamente. Respecto a la cresta tipo de rosa, la variedad Kollonka de Aretes y Kollonka presentaron una existencia en proporciones de 5% y 3%, respectivamente.

Figura 5. Porcentaje de aves Mapuche (%) de las variedades Kollonka de Aretes, Kollonka y Ketro, según tipo de crestas en la provincia del Diguillín, Región de Ñuble, Chile. Mediciones estimadas sobre aves macho y hembras, con un total de aves de 22, 145 y 5 aves para las variedades Kollonka de Aretes, Kollonka y Ketro respectivamente. Fuente: Elaboración propia.
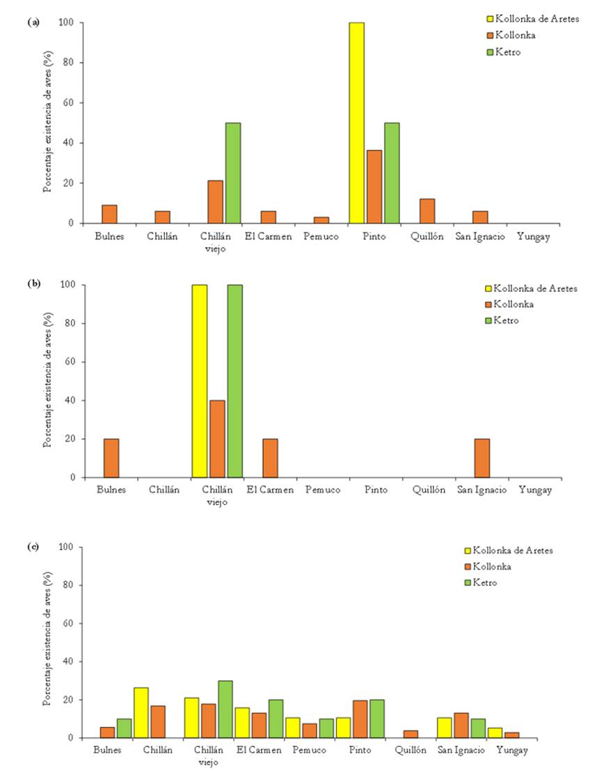
En cuanto al tipo de cresta de aves Mapuche por comunas, la cresta de arveja (Figura 6a) en la variedad de aves Kollonka de Aretes se encontró en un 100% en la comuna de Pinto. Para la variedad de aves Kollonka, fueron encontradas en las comunas de Pinto (36%), Chillán viejo (21%), Quillón (12%), Bulnes (9%), Chillán (6%), El Carmen (6%), San Ignacio (6%) y Pemuco (3%). Por su lado, la cresta de arveja en las aves de la variedad Ketro fueron encontradas en las comunas de Chillán viejo y Pinto con la misma proporción de existencia (50%). En cuanto al tipo de cresta rosa (Figura 6b), se presentó en un 100% en aves de la variedad Kollonka de Aretes en la comuna de Chillán viejo. En cambio, en la variedad Kollonka, este tipo de cresta se distribuyó en las comunas de Chillán viejo, Bulnes, El Carmen y San Ignacio con porcentajes de existencia correspondientes al 40%, 20%, 20% y 20%, respectivamente. Sin embargo, solo se presentó existencia de cresta rosa en la variedad Ketro de la comuna de Chillán viejo (100%). La cresta simple (Figura 6c), se presentó en la variedad Kollonka de las comunas de, Chillán (26%), Chillán viejo (21%), El Carmen (16%), Pemuco (11%), Pinto (11%), San Ignacio (11%) y Yungay (5%). En cuanto a este tipo de cresta en la variedad Kollonka, se presentó en las comunas de Pinto (20%), Chillán viejo (18%), Chillán (17%), El Carmen (13%), San Ignacio (13%), Pemuco (7%), Bulnes (6%), Quillón (4%) y Yungay (3%). La variedad de aves Ketro, presentó cresta simple en las comunas de Chillán viejo (30%), El Carmen (20%), Pinto (20%), Bulnes (10%), Pemuco (10%) y San Ignacio (10%).

Figura 6. Porcentaje de aves Mapuche (%) de las variedades Kollonka de Aretes, Kollonka y Ketro, según tipo de crestas en las comunas de la provincia del Diguillín, Región de Ñuble, Chile. (a) Cresta de arveja, (b) cresta de rosa y (c) cresta simple. Mediciones estimadas sobre aves macho y hembras, con un total de aves de 39, 8 y 136 aves para los tipos de crestas, cresta de arveja, cresta de rosa y cresta simple, respectivamente. Fuente: Elaboración propia.
Color de tarso de aves Mapuche
En cuanto al color de tarso de las Aves Mapuche en la provincia del Diguillín (Figura 7), la mayor proporción de existencia de tarso de color verde fue para la variedad Kollonka con 63%, seguida por la variedad Ketro con 55% y de la variedad Kollonka de Aretes con 45%. Respecto al tarso de color amarillo, la mayor proporción de existencias fueron observadas para la variedad Kollonka de Aretes con 55%, continuando con 45% para la variedad Ketro y 37% en la variedad Kollonka.

Figura 7. Porcentaje de aves Mapuche (%) de las variedades Kollonka de Aretes, Kollonka y Ketro, según color de tarso en la provincia del Diguillín, Región de Ñuble, Chile. Mediciones estimadas sobre aves macho y hembras, con un total de aves de 112 y 75 aves para tarso verde y tarso amarillo, respectivamente. Fuente: Elaboración propia.
Respecto a los colores de tarso en las variedades de aves por comunas, se encontró presencia de tarso verde (Figura 8a) en las comunas de Chillán (40%), Chillán Viejo (20%), el Carmen (20%), Pemuco (10%) y San Ignacio (10%) para la variedad Kollonka de Aretes. En la variedad Kollonka, la presencia de este color de tarso fue observada en las comunas Pinto (16%), Chillán Viejo (19%), San Ignacio (14%), El Carmen (11%), Chillán (10%), Pemuco (9%), Bulnes (5%), Quillón (3%) y Yungay (2%). En la variedad Ketro, el color de tarso verde fue observado en las comunas de Chillán Viejo (49%), Chillán (20%), Pinto (20%), Pemuco (10%) y San Ignacio (10%). El color de tarso amarillo (Figura 8b), en la variedad Kollonka de Aretes fue observado en las comunas de Pinto (33%), Chillán Viejo (25%), Chillán (8%), El Carmen (8%), Pemuco (8%), San Ignacio (8%) y Yungay (8%). En la variedad Kollonka, la presencia de este color de tarso fue observada en las comunas de Chillán Viejo (20%), Chillán (20%), Pinto (17%), El Carmen (13%), Bulnes (9%), Quillón (9%), San Ignacio (7%), Pemuco (2%) y Yungay (2%). En las comunas de Chillán Viejo, Chillán, Pinto y El Carmen, fue observado el color de tarso amarillo para la variedad Ketro en proporciones de con 38%, 25%, 25% y 23%, respectivamente.


Figura 8. Porcentaje de aves Mapuche (%) de las variedades Kollonka de Aretes, Kollonka y Ketro, según color de tarso en las comunas de la provincia del Diguillín, Región de Ñuble, Chile. (a) Tarso verde, y (b) tarso amarillo. Mediciones estimadas sobre aves macho y hembras, con un total de aves de 112 y 75 aves para tarso verde y tarso amarillo, respectivamente. Fuente: Elaboración propia.
Peso vivo de aves Mapuche
El peso vivo promedio de las aves Mapuche de la provincia del Diguillín con relación al sexo de las aves Mapuche. El promedio fue superior en los machos para la variedad Kollonka con 2.05 kg, seguido de la variedad Ketro con 1.77 kg, y, por último, la variedad Kollonka de aretes con 1.42 kg de peso vivo (Figura 9). Respecto al peso vivo en las aves hembra, el promedio fue superior en la variedad Kollonka, con 2.02 kg, seguido por la variedad Ketro con 1.75 kg, por último, el menor peso fue evidenciado en la variedad Kollonka de aretes con 1.5 kg. Además, se presentaron diferencias significativas en el peso entre las tres variedades para macho y hembra, evidenciando una tendencia similar en ambos sexos respecto a las variedades.

Figura 9. Peso vivo de aves Mapuche de las variedades Kollonka de Aretes, Kollonka y Ketro por sexo, en la provincia del Diguillín, Región de Ñuble, Chile. Número total de aves de la variedad Inaris, 22; Kollonka, 145; y Ketro, 20. Mediciones estimadas sobre aves macho y hembras. Letras minúsculas indican las diferencias estadísticas significativas entre aves de sexo Macho y letras mayúsculas entre aves de sexo Hembra, según la prueba LSD Fisher (p < 0,05). Fuente: Elaboración propia.
En cuanto al peso vivo promedio de las aves Mapuche para las distintas comunas de la provincia del Diguillín (Figura 10), el peso vivo promedio de las aves por variedad fue distinto para cada comuna. El peso vivo promedio de la variedad Kollonka de Aretes fue superior con respecto a las demás variedades de aves en las comunas de Yungay, Pinto y Chillán viejo, en tanto, fue menor para las comunas de San Ignacio, Pemuco y El Carmen. Por otro lado, la variedad de aves Kollonka presentaron mayor peso en las comunas de Pemuco y Bulnes con respecto a las demás variedades de aves y menor en las comunas de Yungay y Chillán. La variedad Ketro, presentó predominancia en cuanto a peso vivo en las comunas de San Ignacio, El Carmen, y Chillán, en tanto, fue inferior con respecto a las demás variedades de aves en las comunas de Pinto y Bulnes. El mayor peso alcanzado fue para las variedades Kollonka de Aretes y Ketro con 2.67 y 2.6 kg en las comunas de Yungay y San Ignacio, respectivamente. En cambio, el menor peso de aves lo presentó la variedad Kollonka de Aretes en la comuna de Pemuco con 1.18 kg.

Figura 10. Peso vivo de aves Mapuche de las variedades Kollonka de Aretes, Kollonka y Ketro, en las comunas de la provincia del Diguillín, Región de Ñuble, Chile. El número de aves Mapuche medidas por comunas correspondió a Bulnes, 11; Chillán, 29; Chillán viejo, 40; El Carmen, 22; Pemuco, 11; Pinto, 41; Quillón, 9; San Ignacio, 20; y Yungay, 4. Mediciones estimadas sobre aves macho y hembras. Fuente: Elaboración propia.
Color de Huevos de las gallinas Mapuche
Respecto al color de huevos de las gallinas Mapuche en la provincia del Diguillín, la mayor cantidad de observaciones fueron encontradas para la variedad de gallina Kollonka, observándose huevos de color Celeste, Verde, Azul, Turquesa, y Café, cuyos porcentajes fueron 46, 32, 16, 5 y 1 % respectivamente. Para la variedad Kollonka de Aretes, la mayor cantidad de huevos observados fueron para los colores Celeste y verde con 40% seguido por Azul y Turquesa con 10, y 10%, respectivamente. Finalmente, en la variedad Ketro, la mayor cantidad de huevos fue observada para los colores Celeste, Verde, Azul y Turquesa, cuyos porcentajes fueron 44, 34, 11 y 11% respectivamente.

Figura 11. Porcentaje de aves Mapuche (%) de las variedades Kollonka de Aretes, Kollonka y Ketro, según color de huevo en la provincia del Diguillín, Región de Ñuble, Chile. Mediciones estimadas sobre aves hembra, con un total de 107 aves. Fuente: Elaboración propia.
Respecto al color de huevos por comuna en variedad de Aves Mapuche (Figura 12), la variedad Kollonka de Aretes (Figura 12ª), presentó existencia de huevos de los colores Celeste y Verde en la Comuna de Chillán, Chillán Viejo y Pinto, con porcentajes de 25 y 40%, 25 y 40%, 25 y 29% respectivamente. En la comuna de El Carmen, solo se observaron huevos color turquesa, representado el 100%. Finalmente, en la Comuna de San Ignacio, solo se observaron huevos de color Celeste, con un porcentaje de 25%.
Para la variedad Kollonka (Figura 12b), la presencia de los colores Azul, Celeste, Turquesa y Verde, fue observada en las comunas de Chillán, Chillán Viejo y Pinto, con 7, 10, 20, 18%; 14, 20, 40, 29% y 14, 20, 40, 18%, respectivamente. Solamente en la comuna de Chillán se encontró presencia de de huevos café (100%). En la comuna de Pemuco, se observó el color de huevos Azul, Celeste y Verde, con 21, 2 y 11%. Para la comuna de El Carmen y San Ignacio, se observó el color Celeste y Verde, con 15, 11% y 20, 11% respectivamente. En la comuna de Quillón, se evidenciaron huevos de color Azul y Verde, con 36 y 4%. Finalmente, en la comuna de Bulnes solo se observaron huevos de color Celeste, con 15%, y en Yungay solo de color azul, con 7%.
En la variedad Ketro (Figura 12c), la existencia del color de huevo Azul, Turquesa y Verde, fue observado en la comuna de Chillán Viejo, con 100, 100 y 33% respectivamente. En la comuna de Pinto, se evidenció un 33 y 33% para el color Celeste y Verde. En la comuna de Bulnes y Pemuco, se hallaron huevos de color Celeste, con 33 y 33% respectivamente. Finalmente, en la comuna de El Carmen, solo se observaron huevos de color verde, con un 33% de observaciones. En las comunas de Chillán, Quillón, San Ignacio y Yungay, no se observaron huevos para esta variedad.



Figura 12. Porcentaje de aves Mapuche (%) de las variedades Kollonka de Aretes, Kollonka y Ketro, según color de huevo en las comunas de la provincia del Diguillín, Región de Ñuble, Chile. (a) Aves variedad Kollonka de Aretes, (b) variedad Kollonka y (c) variedad Ketro. Mediciones estimadas sobre aves hembra, con un total de 7 aves para las comunas de Bulnes, 15 para Chillán, 26 para Chillán viejo, 11 para El Carmen, 8 para Pemuco, 21 para Pinto, 6 para Quillón, 12 para San Ignacio y 1 para Yungay. Fuente: Elaboración propia.
Esquematización fenotípica para las gallinas Mapuche de la provincia del Diguillín
En la Figura 13, se presenta el esquema que demuestra en cada variedad de aves el conjunto de características fenotípicas más representativas, en la provincia del Diguillín. Las características fenotípicas predominantes de la variedad Kollonka de Aretes fueron, color plumaje abedul dorado, cresta simple, tarso amarillo, peso de ave viva de 1,66 kg, huevos de color verde y azulado, sin presencia de cola. En cuanto a las características fenotípicas predominantes de la variedad Kollonka fueron, color de plumaje aperdizado, cresta tipo simple, tarso de color verde, peso de ave viva 1,67 kg, huevo de color celeste y sin cola. Por otro lado, en cuanto a las características fenotípicas predominantes de la variedad Ketro fueron, color de plumaje azul pizarra, tipo de cresta arveja, tarso de color verde, peso de ave viva de 1,83 kg, huevo de color celeste y con presencia de cola.

Figura 13. Características fenotípicas más representativas para la variedad Kollonka de Aretes, Kollonka, Ketro en la provincia del Diguillín. Fuente: Elaboración propia.
Discusión
Caracterización de la población de aves
Las aves de la provincia del Diguillín fueron ampliamente distribuidas entre las comunas, sin predominancia evidente, lo cual concuerda con la alta presencia de agricultura familiar campesina (AFC), de las regiones del centro-sur de Chile, país con un número total de 260 mil familias (AFC), que representa 85% de las explotaciones del país y un 52% de ganado de distintas especies del país incluidas aves, que cumplen parte importante en la economía de estos productores (INDAP, 2023).
Las aves Mapuche definidas según sus características fenotípicas identitarias fueron parte importante de la población de aves en la provincia del Diguillín representando un 74,8% del total de aves evaluadas. La variedad Kollonka fue la variedad más abundante en la provincia (57,5%), seguida de Kollonka de Aretes (8,7) y Ketro (7,9%). A pesar de que este es el primer estudio que señala la proporción poblacional de aves Mapuche según variedad en una provincia de Chile, corrobora su pertenencia en la Región (Montero y Moya, 2007), y contribuye a la identificación de las aves Mapuche por variedades que generalmente son denominadas en su conjunto como criollas (Montero y Moya, 2007). Además, esta investigación cobra relevancia por el resguardo de poblaciones de aves Mapuche en Chile que ha sido fomentado a través de varios programas de apoyo gubernamental (Bravo, 2021). A pesar de que las poblaciones de aves identificadas como Mapuche se concentraron en mayor proporción en las comunas de Chillán, Chillán viejo y Pinto, hubo presencia de las tres variedades de aves evaluadas en todas las comunas de la provincia del Diguillín. Ello corrobora la rusticidad de este tipo de aves, las que pueden adaptarse a distintas condiciones climáticas extremas como sequía y altas temperaturas (Alcalde, 2016), que últimamente han sido reportadas en comunas como, Bulnes y Chillán, en las que las temperaturas sobrepasan los 40°C diarios en los meses de verano (Agrometeorología, 2023).
Características Fenotípicas de la gallina Mapuche en la provincia del Diguillín
Respecto al color de plumaje de las gallinas Mapuches en la provincia de Diguillín, se observó gran variabilidad, especialmente en la variedad Kollonka encontrándose las categorías de color descritos para aves Mapuche (Alcalde, 2016; Montero y Moya, 2007), siendo la categoría de colores “otros” que involucra multicolores, uno de los más representativos. Estos resultados concuerdan con lo descrito por Bibi et al. (2021) quienes evidenciaron un alto porcentaje de plumajes multicolor en aves nativas de Chhajjian en Pakistán. Al excluir la categoría “otros”, se pudo observar que la variedad Kollonka de Aretes presenta un predominio del color abedul dorado, tendencia que no es tan clara en las variedades Kollonka y Ketro. Esta condición se podría atribuir, debido a cruzamientos de aves no específicos de productores de aves en la provincia del Diguillín, quienes pertenecen a AFC y prefieren mantener un número determinado de aves para autoconsumo y comercialización local de carne y/o huevos (Moya, 2004), más que a mantener una característica fenotípica estándar, como puede ser el color del plumaje. A pesar de ello, se puede inferir que otros colores predominantes entre las variedades de aves Mapuche evaluadas, como aperdizado en la variedad Kollonka, abedul dorado en la variedad Kollonka de Aretes y azul pizarra en la variedad Ketro, se debe a la naturaleza de estas gallinas indígenas como método de camuflaje en su entorno ante posibles depredadores (Duguma, 2006).
En Diguillín, se destaca que la variedad Ketro tuvo una predominancia de cresta tipo arveja, coincidente con lo descrito para la especie (2011), donde se establece que para esta variedad la cresta debe ser pequeña y tener esta forma, cuya característica genética es que presenta dominancia incompleta (Griffiths et al., 2002). La presencia de la cresta rosa es baja, coincidiendo como rasgo asociado a una baja fertilidad de estas aves (Upson, 2018). En cuanto al tipo de cresta simple, la variedad Kollonka de Aretes y Kollonka presentaron la mayor incidencia (Figura 5), no obstante, según los criterios para la calcificación de esta variedad, las tres variedades de gallinas Mapuches pueden presentar los 3 tipos de cresta visualizados (Alcalde, 2016; Montero y Moya, 2007)
Las aves Mapuche en la provincia del Diguillín, presentaron colores de tarso verde y amarillo coincidentes con las descripciones para esta especie (Alcalde, 2016; Montero y Moya, 2007), donde las proporciones fueron similares entre variedades de aves. A nivel comunal, para las tres variedades de aves Mapuche, los colores de tarso verde y amarillo predominaron en las comunas contiguas de Chillán, Chillán Viejo y Pinto principalmente. Se ha demostrado que la predominancia fenotípica de esta característica se podría asociar con otros rasgos fenotípicos predominantes como el color del plumaje, por ejemplo, habiendo concordancia en colores oscuros de tarso y plumaje (Moya et al., 2009). Sin embargo, nuestros resultados señalan que hubo alta presencia de ambos colores de tarso con aves de tonalidades de plumaje oscuras y claras. Se conoce entre productores de aves en Chile, que el color de tarso verde es más deseado sobre los demás colores incluyendo amarillo (Moya et al., 2009). A pesar de ello, creemos que al igual que otras características fenotípicas anteriormente descritas como el color del plumaje, presentan baja protección por parte de los productores pertenecientes a AFC a través de los cruzamientos no específicos de aves (Moya, 2004).
Respecto al peso vivo promedio de las aves Mapuches, se encontró que, en la provincia del Diguillín, la variedad Kollonka tuvo el mayor peso, con un promedio de 2,05 kg para machos y 2,02 kg para hembras (Figura 9,13), continuando con la Ketro, con un promedio de 1,77 kg para machos, y 1,75 para hembras (Figura 9,13), sumado a esto, la variedad Kollonka de Aretes, presenta el menor peso, con un promedio de 1,42 kg para machos y 1,5 kg para hembras (Figura 9,13). Se ha demostrado, que el peso de las aves es dependiente principalmente del tipo de alimentación y el manejo en las primeras semanas de vida (García et al., 2002), no obstante, pueden ser características genotipicas propias de la variedad las que puedan tener una incidencia en el peso de las aves (Libera et al., 2005). Por ejemplo, se ha documentado que en la variedad de “Pollo campero” de la selva ecuatoriana en sus fenotipos rojo y negro, se presentan diferencias en la ganancia de peso en los primeros 28 y 56 días, siendo el fenotipo negro el que presentó más ganancia de peso. A pesar de ello, a los siguientes 91 días, el fenotipo rojo incrementó la ganancia de peso por sobre el fenotipo negro (Andrade et al., 2016). Por otro lado, se ha documentado que las gallinas de características autóctonas, criollas o mestizas, poseen un crecimiento y ganancia de peso moderado o lento (Andrade et al., 2016; Yucailla et al., 2019), a diferencia de variedades especializadas en la producción de carne (Agreda, 2005). Esta condición de peso moderado fue también observado en el presente estudio, donde los ejemplares encontrados no superan en promedio 1,75 kg (Figura 9), lo cual se encuentra dentro de lo establecido para las variedades mapuches según Alcalde (2016) y Montero y Moya (2007). Por otro lado, el promedio de peso para la variedad Kollonka fue superior a la variedad Ketro la que a su vez fue superior a Kollonka de Aretes en aves de ambos sexos.
Otro factor importante para considerar respecto a la variación del peso en las gallinas Mapuche es la distribución de las aves en términos geográficos, por ejemplo, se ha documentado que, en el pollo de Kenia, existen diferencias respecto al peso y tamaño de las aves entre las presentes en zonas costeras y la zona norte del país (Otecko et al., 2019).
Otro aspecto interesante para considerar entre las características fenotípicas de las aves Mapuche es que se han reportado una relación entre ellas, pudiendo ser concordante el color del plumaje con el color de huevo (Jahan, 2017), además, se ha informado que los genes determinantes del color del plumaje influyen significativamente en el color del tarso (Round et al., 1990). Consideramos que estos aspectos son relevantes y deben evaluarse en estudios posteriores que evalúen características fenotípicas de aves Mapuche en Chile.
Color de huevo
Respecto al color de huevo, se ha evidenciado que el color de huevo celeste es el más recurrente a nivel de provincia, presentándose en las 3 variedades de gallinas mapuches (Figura 11). Se ha documentado que colores celeste-azulados en los huevos, se deben a una alta concentración de biliverdina en la cáscara del huevo (Punnett, 1933; Latorre, 2001). Este tipo de coloración documentado en los huevos en las gallinas mapuches de la Provincia del Ñuble, también se encuentran en otra variedad de gallina, conocida como la Dongxiang de China (Zhao et al., 2006). Se ha evidenciado que este tipo de color en los huevos de las gallinas Mapuche y Dongxiang, corresponden a mutaciones que, en este caso son independientes entre las dos variedades (Wang et al., 2013; Wragg et al., 2013). A pesar de la independencia en la mutación, las diferencias son mínimas respeto a la similitud estructural, correspondiendo en ambos casos a la inserción de un retrovirus EAV-HP río-arriba al gen SLCO1B3, codificando la proteína transportadora de biliverdina (Wang et al., 2013; Dunn, 1934). No obstante, se ha documentado la postura de huevos en tonalidades café en aves Mapuche, principalmente en la variedad Ketro (Wragg et al., 2013). En el color de huevo por variedad en las comunas de la provincia del Diguillín, encontramos que la variedad Kollonka de Aretes, presentó una mayor proporción de huevos color turquesa, especialmente en la comuna de El Carmen, no obstante, no se hallaron huevos en las comunas de Bulnes, Pemuco y Yungay (Figura 12a), esto es similar en lo encontrado para la variedad Ketro, donde no se evidenciaron huevos en las comunas de Chillán, Quillón, San Ignacio y Yungay (Figura 12c). Por otra parte, para la variedad Kollonka, sí se hallaron huevos en todas las comunas de la provincia del Diguillín, destacándose el azul y celeste (Figura 12b), además del hallazgo de huevos con tonalidad café en la comuna de Chillán (Figura 12b). La disparidad de los huevos en las distintas zonas se condice con la representatividad que tienen las aves mapuches en las distintas comunas en estudio. A pesar de la falta de antecedentes sobre la postura de las gallinas Mapuche, creemos que la ausencia de huevos en algunas comunas también podría responder a la baja postura de esta raza respecto a otras razas especializadas en la producción de huevos (Navarro et al., 2009).
Conclusiones
Entre las variedades de aves Mapuches de la provincia del Diguillín, hubo mayor presencia de la variedad Kollonka cercana a un 60%, seguida de Kollonka con Aretes y Ketro ambos con valores cercanos al 8%. Las comunas de Chillán, Chillán Viejo y Pinto fueron las que tuvieron mayor presencia de estas variedades de aves Mapuche. Las tres variedades de aves Mapuches evaluadas, Kollonka, Kollonka con Aretes y Ketro se adecuaron a lo descrito por Alcalde (2016), y Montero y Moya, (2007). Las características fenotípicas predominantes entre las aves mapuche fueron el color de plumaje “otros” y crestas tipo arveja y simple. Los colores de tarso verde y amarillo estuvieron presentes en la misma proporción. En cuanto al color del huevo dentro de las tonalidades azul a verdosas, hubo predominancia para colores celeste y verde, la presencia de huevos de color café fue la minoría. La alta variabilidad fenotípica de caracteres como color de plumaje, habiendo predominancia del color “otros”, podrían responder a cruzamientos no específicos entre aves mapuches y no mapuches por parte de los productores de la provincia del Diguillín. Por lo tanto, este trabajo es un recurso valioso para futuras acciones de resguardo de caracterización fenotípica en aves Mapuches de distintas comunas de la provincia del Diguillín.
Conflicto de intereses
Los autores declaran que no existen conflictos de intereses.
Financiamiento
Esta investigación ha sido financiada por la Facultad de Ingeniería y Negocios de la Universidad Adventista de Chile.
Agradecimientos
Se agradece la participación en este estudio al alumno de Agronomía Luis Torres, quien diligentemente efectuó el estudio en nuestra provincia.
Referencias
Agreda, U. S. (2005). Estudio preliminar de la crianza de aves pesadas. [Tesis para optar al título de Ingeniero, Universidad Nacional Agraria La Molina, Perú].
Instituto de Desarrollo Agropecuario (2023). Agricultura Familiar Campesina. [Consulta: 23-01-2023]. https://www.indap.gob.cl/agricultura-familiar-campesina
Instituto de Investigaciones Agropecuarias (2023). Red Agrometeorológica INIA. [Consulta: 18-01-2023]. https://agrometeorologia.cl/#
Alcalde, J. (2007). Orígenes de la gallina araucana: ¿Europea, Asiática o Polinesia? Selecciones Avícolas 50(10), 639-641. [Consulta: 18-01-2023]. https://www.sag.gob.cl/content/origenes-de-la-gallina-araucana-europea-asiatica-o-polinesica
Alcalde, J. (2016). Etno-Ornitología e Historia de la Gallina Mapuche. Revista Chilena de Ornitología, 22, 133-140. https://www.researchgate.net/publication/303520004_ETNO-ORNITOLOGIA_E_HISTORIA_DE_LA_GALLINA_MAPUCHE_Ethno-ornithology_and_history_of_the_Mapuche_fowl
Andrade, V.; Ramírez, A.; Ankuash, M.; Torres, V.; Vargas, J.; Lima, O.; Raciel, R.; Pérez-Bello, A. & Yucailla, S. (2016). Assessment of two free-range chickens’ phenotypes in a semi-intensive system with Arachis pintoi grazing in ecuadorian Amazonia. Acta Iberoamericana de Conservación Animal, 8, 20-23. https://www.researchgate.net/publication/316526614_Assessment_of_two_free-range_chickens_phenotypes_in_a_semi-intensive_system_with_Arachis_pintoi_grazing_in_ecuadorian_Amazonia
Bibi, S.; Fiaz, M.; Noreen, S.; Rehman, A.; Khan, N.; Mehmood, S. & Shah, M. (2021). Morphological characteristics of native chicken of village Chhajjian, Haripur Pakistan. Poultry Science, 100(3), 100843. https://doi.org/10.1016/j.psj.2020.11.022
Bravo, M. (2021). La Araucanía: Buscan rescatar la gallina mapuche y el turismo en el lago Budi con innovación agrícola. Fundación para la Innovación Agraria. [Consulta: 18-01-2023]. https://www.fia.cl/la-araucania-buscan-rescatar-la-gallina-mapuche-y-el-turismo-en-el-lago-budi-con-innovacion-agricola/
Castelló, S. (1924). Etnología y noticia de razas nuevas y de otras ya conocidas: El Gallus Kollonka de Aretes y la gallina que da el huevo azul. Libro del Segundo Congreso y Exposición Mundiales de Avicultura. [Consulta: 15-01-2023]. https://ddd.uab.cat/pub/munavi/[email protected]
Duguma, R. (2006). Phenotypic characterization of some indigenous chicken ecotypes of Ethiopia. Development, 18(9). https://www.lrrd.cipav.org.co/lrrd18/9/dugu18131.htm
Dunn, L., & Landauer, W. (1934). The genetics of the rumples fowl with evidence of a case of changing dominance. Journal of Genetics. 29, 217–243. https://www.ias.ac.in/public/Volumes/jgen/029/02/0217-0243.pdf
García, M. C.; Sánchez, A. y López, A. (2002). Efecto de la uniformidad del lote en el comportamiento productivo de la ponedora White Leghorn [CD-ROM]. La Habana (CU): Facultad de Medicina Veterinaria, Universidad Agraria de La Habana. 1CD. [Consulta: 16-01-2023]. https://catalogosiidca.csuca.org/Record/UNANI.049238/Details
Gobernación de Diguillín (2021). Gobernación de Diguillín. [Consulta: 18-01-2023]. http://www.gobernaciondiguillin.gov.cl/conozca-la-provincia/
Griffiths, A.; Miller, J.; Suzuki, D. y Lewontin, R. (2002). Genética. 7° ed. Editorial McGraw-Hill - Interamericana.
Herrera, M.; Kraitsek, S.; Alcalde, J.; Quiroz, D.; Revelo, H.; Álvarez, L.; Rosario, F.; Thomson, V.; Jianlin, H.; Austin, J. & Gongora, J. (2020). European and Asian contribution to the genetic diversity of mainland South American chickens. Royal Society open science, 7(2), 191558. https://doi.org/10.1098/rsos.191558
Instituto Nacional de Desarrollo Agropecuario (2023). Producción de huevos de gallinas felices fortalece la asociatividad de mujeres rurales en Alto del Carmen. [Consulta: 10-03-2023]. http://www.indap.gob.cl/noticias/produccion-de-huevos-de-gallinas-felices-fortalece-la-asociatividad-de-mujeres-rurales-en
Jahan, S.; Islam, F.; Bhuiyan, M. & Bhuiyan, A. K. F. H. (2017). Productive and reproductive performances of indigenous chicken in the rural condition of Bangladesh. Bangladesh Journal of Animal Science, 46, 121. https://doi.org/10.3329/bjas.v46i2.34440
Kottek, M.; Grieser, J.; Beck, C.; Rudolf, B. & Rubel, F. (2006). World Map of the Köppen-Geiger climate classification updated. Meteorologische Zeitschrift, 15(3), 259-263. https://doi.org/10.1127/0941-2948/2006/0130
Latorre, A. (2001). Incubabilidad en huevos de gallina araucana (Gallus inauris) en relación al período de almacenaje previo a la incubación. [Tesis médico veterinario-Universidad de Concepción. Repositorio institucional de la Universidad de Concepción]. [Consulta: 10-04-2023]. https://bibliotecadigital.uchile.cl/discovery/fulldisplay?vid=56UDC_INST:56UDC_INST&search_scope=MyInst_and_CI&tab=Everything&docid=alma991002611259703936&lang=es&context=L&adaptor=Local%20Search%20Engine&query=sub,exact,Enfermedades%20gastrointestinales%20--%20PARASITOLOGIA,AND&mode=advanced
Librera, J. E.; Di Masso, R. J.; Canet, Z. E.; Font, M. T. & Dottavio, A. M. (2005). Crecimiento, consumo de alimento y eficiencia alimenticia en pollos campero inta con diferente genotipo materno. FAVE Sección Ciencias Veterinarias, 2(1), 57-64. https://doi.org/10.14409/favecv.v2i1.1387
Montero, A. y Moya, R. (2007). Revalorización de las gallinas mapuche. CETSUR. [Consulta: 16-01-2023]. https://www.cetsur.org/wp-content/uploads/2016/09/Revalorizacion-de-Las-Gallinas-Mapuche.pdf
Moya A., R. (2004). Gallina de huevos azules: Contribuciones a la elaboración de un protocolo. Centro de Educación y Tecnología para el Desarrollo del Sur. CETSUR.
Moya A., R.; Montero C., A. y Letelier, E. (2009). Mejoramiento genético participativo, gallina Mapuche. Ministerio de Agricultura; Chile Potencia & CETSUR.
Navarro, R.; Aguilera, M.; Bórquez, F. y Casanova, G. (2009). Resultados y lecciones en gallinas mapuches productora de huevos azules: Proyecto de innovación en regiones del Biobío y de La Araucanía. Fundación para la Innovación Agraria, Ministerio de Agricultura. Fundación para la Innovación Agraria & Ministerio de Agricultura.
Otecko, N.; Ogali, I.; Ng’ang’a, S.; Mauki, D.; Ogada, S.; Moraa, G.; Lichoti, J.; Agwanda, B.; Peng, M.; Ommeh, S. & Zhang, Y. (2019). Phenotypic and morphometric differentiation of indigenous chickens from Kenya and other tropical countries augments perspectives for genetic resource improvement and conservation. Poultry Science, 98(7), 2747-2755. https://doi.org/10.3382/ps/pez097
Punnett, C. (1933). Genetic studies in poultry: IX. The blue egg. Journal of Genetics, 27(3), 465-470. https://doi.org/10.1007/BF02981757
Round, F.; Crawford, R. & Mann, D. (1990). The Diatoms. Biology and Morphology of the Genera. Cambridge University Press.
Salières, M.; Le Grix, M.; Vera, W. y Billaz, R. (2021). La agricultura familiar chilota en perspectiva. Revista LIDER, 10(13), 79-104. https://www.revistaliderchile.com/index.php/liderchile/article/view/206
Storey, A.; Ramírez. J.; Quiroz, D.; Burley, D.; Addison, D.; Walter, R.; Anderson, A.; Hunt, T.; Athens, S.; Huynen, L. & Matisso-Smith, E. (2007). Radiocarbon and DNA evidence for a pre-Columbian introduction of Polynesian chickens to Chile. PNAS, 104(25), 10335-10339. https://www.pnas.org/doi/full/10.1073/pnas.0703993104
Upson, R. (2018). Tipos de crestas de Gallinas: Un rasgo genético de las aves. [Consulta: 18-01-2023]. https://www.fincacasarejo.com/genetica/crestas
Wang, Z.; Qu, L.; Yao, J.; Yang, X.; Li, G.; Zhang, Y.; Li, J.; Wang, X.; Bai, J.; Xu, G.; Deng, X.; Yang, N. & Wu, C. (2013). An eav-hp insertion in 5′ flanking region of slco1b3 causes blue eggshell in the chicken. PLoS Genetics, 9(1), e1003183. https://doi.org/10.1371/journal.pgen.1003183
Wilhelm, G. (1963). Observaciones acerca de la gallina araucana (Gallus Kollonka de Aretes castelloi, 1914). Revista Chilena Historia Natural (55), 93-107. http://rchn.biologiachile.cl/pdfs/1960-1963/1/Wilhelm_1963.pdf
Wragg, D.; Mwacharo, J.; Alcalde, J.; Wang, C.; Han, J.; Gongora, J.; Gourichon, D.; Tixier-Boichard, M., & Hanotte, O. (2013). Endogenous retrovirus eav-hp linked to blue egg phenotype in mapuche fowl. PLoS ONE, 8(8), e71393. https://doi.org/10.1371/journal.pone.0071393
Yucailla, V.; Vargas, J. y Lima, O. (2017). Comportamiento productivo de dos fenotipos de pollos camperos en la región Amazónica de Ecuador. Revista Amazónica Ciencia y Tecnología, 6(1), 1-8. https://dialnet.unirioja.es/servlet/articulo?codigo=6145605
Zhao, R.; Xu, G.; Liu, Z.; Li, J. & Yang, N. (2006). A study on eggshell pigmentation: Biliverdin in blue-shelled chickens. Poultry Science, 85(3), 546-549. https://doi.org/10.1093/ps/85.3.546
![]()
